Produktkategorie

loading

Anteil an:
sharethis sharing button

SFO-Ausdehnungsgefäß

Ausdehnungsgefäße können nicht nur den Druck im geschlossenen System stabil halten, sondern auch Tanks, Umwälzpumpen, Rohre und einige andere Geräte vor Beschädigungen schützen und so die Lebensdauer des gesamten Systems verlängern.
  • SFO005-SFO150

  • für SFH / SFBS / SFFP

  • Kohlenstoffstahl + EPDM

  • Halten Sie den Druck für alle geschlossenen Systeme stabil

  • Gassack

  • 1 Jahr

Menge:

1. Produktbeschreibung

1.1 Produkteinführung

  • Der SFO-Ausdehnungsbehälter von 1st Sunflower ist eine Gassackstruktur. Wasser berührt die Innenwand des Tanks im Betrieb nicht vollständig, sodass kein Rost und keine sekundäre Verschmutzung der Wasserqualität vorhanden sind.

  • In Systemen mit geschlossenem Kreislauf wie Klimaanlagen, Solarthermie-Systemen, Kesseln und Fußbodenheizungen soll der Ausdehnungsgefäß das Ausdehnungsvolumen dieses Systems aufgrund von Temperaturänderungen absorbieren, um zu verhindern, dass sich der Druck des Systems schnell ändert, und die Anzahl der Druckentlastungen verringern des Sicherheitsventils und die Anzahl der Wasserzufuhr des Füllventils.

  • Bei Wasserversorgungssystemen wie variabler Frequenz und Brandschutzwasserversorgung dient der Ausgleichsbehälter hauptsächlich dazu, das Starten und Stoppen der Pumpe und den durch das Öffnen und Schließen des Systemventils verursachten Aufprall des Wasserschlags zu puffern und sicherzustellen, dass die Pumpe hat genug Schlafzeit während der niedrigen Spitzenzeit des Wasserverbrauchs, was nicht nur Energie spart, sondern auch die Lebensdauer der Pumpe verlängert.


1.2 Struktur

  • Der SFO-Ausdehnungsbehälter besteht aus einem Tankkörper, einem Gassack, einem Einlass / Auslass und einem Gasversorgungsanschluss.

  • Der Tankkörper besteht aus Kohlenstoffstahl und die äußere Schicht ist ein Rostschutzgemälde.

  • Das Material des Gassacks ist EPDM-Gummi. Das vorgefüllte Gas zwischen dem Gassack und dem Tankkörper wird werkseitig gefüllt, Sie müssen es nicht selbst nachfüllen.

2. Arbeitsprinzip

  • Da der Systemdruck höher ist als der Druck des vorgeblasenen Gases im Tank, tritt etwas Arbeitsfluid in den Gassack ein, bis ein neues Gleichgewicht erreicht ist, wenn der Ausgleichsbehälter im System arbeitet.

  • Wenn der Systemdruck wieder ansteigt, tritt ein Teil des Arbeitsfluids in den Gassack ein und komprimiert das Gas zwischen dem Gassack und dem Tank. In diesem Fall wird das Gas komprimiert und der Druck erhöht. Das Arbeitsfluid tritt nicht mehr ein, wenn der Gasdruck eintritt ist das gleiche wie Systemdruck.

  • Wenn im Gegensatz dazu der Systemdruck abfällt, ist der Druck des Arbeitsmediums im System niedriger als der Gasdruck zwischen dem Gassack und dem Tank. Das Wasser im Gassack wird durch Extrusion in das System nachgefüllt, um den Systemdruck zu erhöhen.

  • Bis der Arbeitsflüssigkeitsdruck des Systems dem Gasdruck im Tank entspricht, tritt das Wasser im Gassack nicht mehr in die Rohrleitung aus und sorgt für ein dynamisches Gleichgewicht.

3. Spezifikationen und Parameter

Ausdehnungsgefäß-Absatz 4

4. Auswahlberechnung des Ausgleichsbehälters

4.1Auswahlberechnung des Ausgleichsbehälters

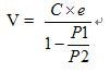
Die Auswahlformel für den Ausgleichsbehälter im thermischen System (Kessel, Klimaanlage, Wärmepumpe,solarwAter Heizungusw.) ist wie folgt:

1542787096710

In dieser Formel

C = Gesamtwasserkapazität im System (Einschließlich Kessel, Rohre, Heizkörper usw.)

e = Wärmeausdehnungskoeffizient von WasserWasserexpansionsrate bei der höchsten Wassertemperatur während des Kesselbetriebs abzüglich der Wasserexpansionsrate der Wassertemperatur bei Systemkühlung,siehe die Tabelle unten),in der Serienausstattung,e = 0,035990℃)

P1 =Vorfülldruck des AusgleichsbehältersAbsoluter Druck

P2 = Der maximale Druck des Systembetriebs (Absolutdruck)

V =Volumen des Ausgleichsbehälters

Ausdehnungsgefäß-Absatz 5.1

4.2Auswahlberechnung des Ausgleichsbehälters im Konstantdrucksystem

Um ein häufiges Starten der Pumpe zu vermeiden, sollte das Einstellvolumen des Ausgleichsbehälters für einen bestimmten Zeitraum dem Pumpenfluss entsprechenL / minIn einem Konstantdrucksystem lautet die Formel zur Berechnung des Ausgleichsbehälters wie folgt:


1542787168054


In dieser Formel
K =Pumpenbetriebskoeffizient ,es variiert mit der Pumpenleistung, siehe die folgende Tabelle für Details:

Ausgleichsbehälter-5.2

Amax =Maximaler Durchfluss der PumpeL / min

Pmax =Maximaler Arbeitsdruck der PumpeSystemdruck bei gestoppter Pumpe,Der Druck ist absolut

Pmin =Mindestarbeitsdruck der Pumpe Systemdruck beim Starten der Pumpe Der Druck ist absolut
Ppre =Vorfülldruck des Druckbehälters Der Druck ist absolut
V =Volumen des Druckbehälters
Darunter, 1 PS = 0,75 kW


5. Produktinstallation

  • Inein Solardruck-UmwälzsystemDer Ausgleichsbehälter sollte in der Nähe des Einlasses der Wasserpumpe installiert werden.

  • Im Wasserversorgungssystem sollte am Auslass der Wasserpumpe ein Ausgleichsbehälter installiert werden.

  • In thermischen Systemen (wie Klimaanlagen, Kesseln, Wärmepumpen, Solarwarmwasserbereitern usw.) werden Expansionsbehälter im Allgemeinen am Rücklaufende des Systems installiert.

Vorherige: 
Nächste: 

Ähnliche Neuigkeiten

Inhalt ist leer!

1st sunflower ist seit 1998 auf dem Gebiet der Solarenergieprodukte mit tiefem Know-how und Know-how in Solarenergieprodukten und umweltfreundlichen Produkten, mit der Fähigkeit ausgezeichneter Produktdesigns, Lösungsberatung und Business-Support-Services tätig .

Quick Links

Kontaktiere uns

 :info@sunflower-solar.com / info@sunline.com.cn
 + 0086-13775232023 / + 0086-13584366733
 +8613584366733
 : cnsunline
 : No.1, hongxi road, niutang industrial district,
Changzhou, Jiangsu, China
Copyright & Kopie; 1. SONNENBLUMEN ENERGIE Co., Ltd. Alles klar gelöst.