Категория продукта

loading

Поделиться с:
sharethis sharing button

Расширительный бак SFO

Расширительные баки не только могут поддерживать стабильное давление в замкнутой системе, но также защищают резервуары, циркуляционные насосы, трубы и другое оборудование от повреждений, а также продлевают срок службы всей системы.
  • SFO005-SFO150

  • для SFH / SFBS / SFFP

  • Углеродистая сталь + EPDM

  • Поддерживайте стабильное давление во всех закрытых системах

  • болтун

  • 1 год

Количество:

1. Описание продукта

1.1 Введение продукта

  • Расширительный бак 1st Sunflower SFO представляет собой газопакетную конструкцию. Вода полностью не касается внутренней стенки резервуара во время работы, поэтому нет ржавчины и вторичного загрязнения воды.

  • В системах с замкнутым контуром, таких как кондиционеры, солнечные тепловые системы, котлы и полы с подогревом, расширительный бак должен поглощать объем расширения этой системы из-за изменений температуры, чтобы предотвратить быстрое изменение давления в системе, уменьшить количество сбросов давления предохранительного клапана и количество подачи воды в наполнительный клапан.

  • В системах водоснабжения, таких как регулируемая частота и противопожарная подача воды, расширительный бак предназначен главным образом для буферизации запуска и остановки насоса, а также воздействия гидравлического удара, вызванного открытием и закрытием системного клапана, и для обеспечения того, чтобы насос имеет достаточное время сна во время низкого пикового периода использования воды, что не только экономит энергию, но и продлевает срок службы насоса.


1.2 Структура

  • Расширительный бак SFO состоит из корпуса, газового мешка, впускного / выпускного отверстий и порта подачи газа.

  • Корпус резервуара изготовлен из углеродистой стали, а внешний слой покрыт антикоррозийной краской.

  • Материал Gasbag - резина EPDM; Предварительно накачанный газ между газовым баллоном и корпусом бака заполняется на заводе, вам не нужно заполнять его самостоятельно.

2. Принцип работы

  • Поскольку давление в системе выше, чем давление предварительно накачанного газа внутри бака, в газовый мешок будет поступать некоторое количество рабочей жидкости, пока не будет достигнут новый баланс, когда расширительный бак будет работать в системе.

  • Когда давление в системе снова возрастет, некоторая часть рабочей жидкости попадет в газовый баллон, сжимая газ между газовым баллоном и резервуаром. В этом случае газ сжимается и давление повышается, рабочая жидкость прекращает входить, когда давление газа такое же, как давление в системе.

  • Напротив, когда давление в системе падает, давление рабочей жидкости в системе ниже, чем давление газа между газовым баллоном и баком, вода в газовом баллоне пополняется в систему путем экструзии для повышения давления в системе.

  • До тех пор, пока давление рабочей жидкости системы не станет равным давлению в резервуаре, давление воды в газовом баллоне больше не поступает в трубопровод, поддерживая динамический баланс.

3. Технические характеристики и параметры

Расширительный бак-Параграф 4

4. Подбор расчета расширительного бачка

4.1Подбор расчета расширительного бачка

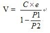
Формула выбора расширительного бачка в тепловой системе (котел, кондиционер, тепловой насос,sолаrwводонагревательи т. д.) выглядит следующим образом:

1542787096710

В этой формуле

C = общий объем воды в системе (включая котлы, трубы, радиаторы и т. Д.)

е = коэффициент теплового расширения водыскорость расширения воды при самой высокой температуре воды во время работы котла минус скорость расширения воды температуры воды при охлаждении системы,смотрите таблицу ниже),в стандартном оснащении,е = 0,035990℃)

P1 =Давление предварительной зарядки расширительного бакаАбсолютное давление

P2 = максимальное давление работы системы (абсолютное давление)

V =Объем расширительного бака

Расширительный бак-Параграф 5.1

4.2Выбор расчета расширительного бака в системе постоянного давления

Чтобы избежать частого запуска насоса, объем регулировки расширительного бака должен соответствовать потоку насоса в течение определенного периода времени.Л / мин. В системе постоянного давления формула для расчета расширительного бака выглядит следующим образом:


1542787168054


В этой формуле
К =Коэффициент работы насоса ,это зависит от мощности насоса, подробности смотрите в таблице ниже:

расширительный бак-5.2

Amax =Максимальный расход насосаЛ / мин

Pmax =Максимальное рабочее давление насосаСистемное давление при остановке насоса,давление абсолютное

Пмин =Минимальное рабочее давление насоса Системное давление при запуске насоса давление абсолютное
Ppre =Давление предварительного давления в баке давление абсолютное
V =Объем резервуара под давлением
Из их, 1 л.с. = 0,75 кВт


5. Установка продукта

  • Inсистема циркуляции солнечного давления, расширительный бак должен быть установлен рядом с входом водяного насоса.

  • В системе водоснабжения расширительный бак должен быть установлен на выходе водяного насоса.

  • В тепловых системах (таких как кондиционеры, бойлеры, тепловые насосы, солнечные водонагреватели и т. Д.) Расширительные баки обычно устанавливаются на обратной стороне системы.

предыдущий: 
следующий: 

Связанные новости

Содержание пуста!

1-й подсолнечник вступил в сферу солнечной энергетики с 1998 года с глубоким опытом и навыками в области солнечной энергии и экологически чистых продуктов, обладающих отличным дизайном продукции, консалтингом в области решений и поддержкой бизнеса, и стремится максимизировать стоимость и сократить расходы для клиентов ,

Быстрые ссылки

Связаться с нами

 :info@sunflower-solar.com / info@sunline.com.cn
 : + 0086-13775232023 / + 0086-13584366733
 : +8613584366733
 : cnsunline
 : NO.1, дорога Хунси, промышленный район Ниутанг,
Чанчжоу, Цзянсу, Китай
Авторское право и копия; 1ST SUNFLOWER ENERGY Co., Ltd. Все в порядке.